当前位置:肿瘤瞭望>资讯>快讯>正文

瞭望东方丨青海大学附属医院乳腺中心赵久达教授团队研究成果荣登柳叶刀子刊eClinicalMedicine杂志

作者:肿瘤瞭望   日期:2025/3/27 14:03:14  浏览量:7696

肿瘤瞭望版权所有,谢绝任何形式转载,侵犯版权者必予法律追究。

青海大学附属医院乳腺疾病诊疗中心赵久达教授团队在柳叶刀子刊《eClinicalMedicine》(中科院一区,IF 9.6)发表题为《Disproportionality analysis of interstitial lung disease associated with novel antineoplastic agents during breast cancer treatment:a pharmacovigilance study》的重要研究。首次利用FDA不良事件报告系统(FDA Adverse Event Reporting System,FAERS)和日本不良药物事件报告(Japanese Adverse Drug Event Report,JADER)两大药物警戒数据库,揭示了在乳腺癌治疗中与间质性肺病(Interstitial lung disease,ILD)发生相关的新型抗肿瘤药物。

编者按:青海大学附属医院乳腺疾病诊疗中心赵久达教授团队在柳叶刀子刊《eClinicalMedicine》(中科院一区,IF 9.6)发表题为《Disproportionality analysis of interstitial lung disease associated with novel antineoplastic agents during breast cancer treatment:a pharmacovigilance study》的重要研究。首次利用FDA不良事件报告系统(FDA Adverse Event Reporting System,FAERS)和日本不良药物事件报告(Japanese Adverse Drug Event Report,JADER)两大药物警戒数据库,揭示了在乳腺癌治疗中与间质性肺病(Interstitial lung disease,ILD)发生相关的新型抗肿瘤药物。
 
△eClinicalMedicine官网发表《Disproportionality analysis of interstitial lung disease associated with novel antineoplastic agents during breast cancer treatment:a pharmacovigilance study》
 
新型抗肿瘤药物的应用显著改善了乳腺癌患者的生存预后,但也可能伴随严重的不良反应。ILD作为一种较为严重的不良反应,可导致治疗中断,影响疗效,甚至威胁患者生命安全。尽管随机对照试验(RCT)已提示部分药物存在ILD风险,但受限于严格入组标准和较短随访时间,难以全面反映真实世界中ILD的发生情况。为了解决这一问题,团队通过大规模药物警戒学分析,旨在系统评估真实世界中不同新型抗肿瘤药物在乳腺癌治疗中与ILD的关联性,为临床用药安全提供全面、可靠的证据支持。
 
在这项药物警戒研究中,研究者从FAERS(2004年1月1日至2023年12月31日)和JADER(2004年1月1日至2024年3月31日)两大数据库检索数据。数据检索涉及从FDA和PMDA门户网站直接下载结构化数据集。参与者选择包括FDA批准的用于治疗乳腺癌的新型抗肿瘤药物,以ILD的标准MedDRA分析查询(SMQ)作为首选术语,排除重复用药、非乳腺癌适应证、未获批准的药物以及药物被归类为伴随用药或相互作用的病例。采用报告比值比(ROR)评估不相称的报告信号,将95%CI下限>1和≥3个ILD病例定义为有统计学意义。
 
△研究流程图
 
结果显示,通过分析来自FAERS数据库的2913例和JADER数据库的1868例ILD患者后,识别出包括T-DXd、T-DM1、曲妥珠单抗、帕妥珠单抗、阿贝西利、阿替利珠单抗和依维莫司在内的多种新型抗肿瘤药物与ILD的发生密切相关。
 
△乳腺癌治疗中与新型抗肿瘤药物相关的ILD信号
 
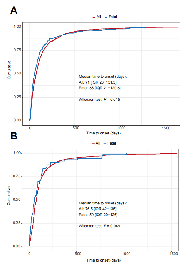
研究发现,大多数ILD事件发生于治疗早期,且致死病例的发病时间更短,提示临床应在治疗初期加强对肺部状况的监测。进一步分析表明,与传统化疗药物相比,使用新型抗肿瘤药物的患者更有可能出现ILD。此外,年龄和体重是影响ILD发生的关键因素,患者年龄与ILD发生几率呈正相关,而体重与ILD发生几率呈负相关。这些发现可以帮助临床医生及时识别和管理ILD,从而提高患者的治疗持久性和生活质量。
 
△FAERS(A)和JADER(B)数据库中显示所有病例和死亡病例接受新型抗肿瘤药物治疗后至ILD发病时间的累积分布曲线
 
△新型抗肿瘤药物与化疗药物间ILD信号的火山图比较
 
通讯作者
 
赵久达教授
青海大学附属医院乳腺疾病诊疗中心、主任医师、博士研究生导师
国家肿瘤质控中心乳腺癌专家委员会委员
国家卫生健康委卫生发展研究中心乳腺癌单病种分级诊疗专病联盟(项目)专家组成员
全国乳腺癌防控协作组委员
中国老年保健协会乳腺癌专业委员会常务委员
中国抗癌协会乳腺癌专业委员会委员
中国医师协会肿瘤学分会乳腺癌学组委员
中华志愿者协会中西医结合专家志愿者委员会乳腺外科专业组常务委员
青海省抗癌协会中西医整合肿瘤专业委员会主任委员
青海省抗癌协会乳腺癌专业委员会副主任委员
青海省预防医学会乳腺癌专业委员会副主任委员
主持3项国家自然科学基金课题,1项科技部国家科技重大专项子课题。以第一或通讯作者(含共同)在JCO,STTT,JAMA Network Open,Journal of hematology&oncology和Immunology等杂志发表SCI文章60余篇。Cancer Innovation杂志编委。
 
第一作者
 
朱子君
青海大学附属医院乳腺疾病诊疗中心硕士研究生
中国临床肿瘤学会会员。以第一作者在eClinicalMedicine和Critical Reviews in Oncology/Hematology发表SCI文章2篇。参与省部级课题1项。公共营养师三级。获得国家奖学金、青海大学校一等奖学金。

本内容仅供医学专业人士参考


乳腺癌

分享到: 更多